Теория для заскучавших в коридоре
Тем и хороша математика, что она способна сделать увлекательным даже стояние в очереди. Например, можно прикинуть, сколько еще ждать своей очереди, но для этого, как ни странно, надо посмотреть не вперед, а назад, на растущий хвост. Если подождать какое-то время, скажем 10 минут, и посчитать, сколько человек выстроилось за вами, то, разделив количество людей перед вами на полученное число, вы вычислите среднее время ожидания в десятках минут. Например, пусть за десять минут хвост вырос на пять человек; если в момент подсчета перед вами семь человек, то ожидаемое время ожидания составит 10 × 7/5 = 14 минут. Понятно, что эта оценка будет весьма грубой, но любопытно, что она действительно соответствует среднему времени ожидания. Об этом говорит теорема Литтла — один из самых ранних и самых общих результатов теории очередей, известной в России как теория массового обслуживания.
Теория очередей появилась в самом начале XX века, с первых работ датского математика Агнера Эрланга (1878–1929), который занимался зарождающейся областью телекоммуникаций. За сотню лет результаты исследований Эрланга прочно вошли в нашу жизнь — настолько, что возникает ощущение, будто мы вошли в мир телекоммуникаций. Несколько позже большой вклад в развитие этой науки внес советский математик Александр Яковлевич Хинчин (1894–1959), который вместе с Андреем Николаевичем Колмогоровым (1903–1987) заложил основы современной теории вероятностей. Результаты теории массового обслуживания важны для проектирования магазинов и залов ожидания, оптимального управления операционной системой компьютера и операционным залом банка, для грамотной разработки бюрократической машины, управления дорожной сетью и в оценке рисков страховой компании. В очередях могут стоять люди (покупатели, клиенты, пассажиры), автотранспорт и грузы, задачи и документы; а обрабатывать их — кассиры, операторы, регистраторы, серверы и бюрократы. Чтобы не путаться и не утопать в деталях, будем называть стоящих в очереди клиентами, а того, кто их обслуживает, — оператором.
Представьте себе очередь, в которую люди встают согласно некоторому распределению временных интервалов pin(t) со средним значением 1/λ. Время, которое оператор тратит на работу с клиентами, подчинено распределению pout(t) со средним значением 1/μ. На рисунке 7.3 показана очередь, в которой ожидают два клиента под номерами 1 и 2, один с номером 0 обслуживается, а клиент номер 3 готов в нее встать. Ее можно описать как марковский процесс, в котором состояние определяется длиной очереди: состояние 0 — в очереди никого, состояние 1 — один клиент, состояние 2 — два клиента и т. д. В идеальном мире ничто не запрещает очереди стать сколь угодно длинной; значит, мы получаем цепь с бесконечным числом состояний, и для анализа очереди придется иметь дело с матрицей переходов, содержащей бесконечное число строк и столбцов. В , и для анализа стационарного состояния цепи нам понадобилось возводить матрицу переходов в бесконечную степень. Так что же, надо вычислить бесконечную матрицу, возведенную в бесконечную степень? Математиков эта задача не испугала, и уже в 1930-е были придуманы методы для таких вычислений. Результатом анализа будут свойства стационарного состояния очереди. Оно не меняется со временем, но все параметры очереди, такие как длина или время ожидания в ней, — случайные величины. Они могут постоянно меняться, но при этом всегда остаются в рамках каких-то распределений, от времени не зависящих. И чего только не придумаешь, скучая в зале ожидания!

Рис. 7.3. Модель очереди
Свойства очереди сильно зависят от соотношения λ и μ. Если λ > μ, хвост будет расти неограниченно, как пробка на дороге, в которую въезжает больше автомобилей, чем может выехать. Она попросту перекрывает поток клиентов, накапливая их в себе. Для λ < μ очередь устойчива. Она может расти или уменьшаться по мере того, как клиенты добавляются и выходят из нее, но клиенты в ней не накапливаются неограниченно: сколько их вошло в зону ожидания, столько же выйдет. Иными словами, устойчивая очередь может затормозить тех, кто в ней стоит, но неспособна изменить интенсивность потока людей, проходящих сквозь нее. И если на входе мы имеем в среднем λ человек в единицу времени, то и на выходе должны получить такой же поток, независимо от скорости работы оператора. Случай λ ≈ μ рассматривается отдельно. Такая метастабильная очередь ведет себя неустойчиво и моделируется процессом случайного блуждания — с той только разницей, что длина очереди не может быть отрицательной. У блуждающей таким образом системы есть непроницаемая стенка снизу, которая, однако, не мешает практически неограниченному росту длины очереди. И хотя рано или поздно она сократится и даже исчезнет, отклонения времени ожидания и времени работы оператора от среднего будут столь велики, что счесть такое обслуживание удовлетворительным никак не получится. Далее мы будем рассматривать только устойчивые очереди. От характера распределений pin(t) и pout(t) зависят динамика очереди и ее характеристики, такие как распределение для ее длины, времени ожидания клиентом и времени занятости оператора. Для очередей создана система обозначений, называемая нотацией Кендалла. Например, простая очередь, в которую люди входят равномерно и так же уходят, как, например, в аэропорту при посадке на рейс, обозначается D/D/1 (буква D здесь обозначает детерминированный процесс, соответствующий вырожденному распределению, а единица — одного оператора). Въезд и выезд автомашин на территорию аэропорта через три автоматических шлагбаума можно описать очередью M/D/3. Буквой M обозначается пуассоновский (марковский) процесс, то есть случайный процесс без памяти. В очередь на регистрацию билетов и оформление багажа новые люди приходят по-пуассоновски, и багаж у всех разный, так что клиенты будут выходить из очереди тоже по-пуассоновски. Для пяти стоек такая очередь обозначается M/M/5. Собственные обозначения существуют и для других видов распределений. Если же мы вообще ничего не знаем о распределении появления клиентов или методах их обслуживания, то обозначаем такой произвольный процесс буквой G (от слова General — общий).
В этой главе мы будем исследовать неприятности и неожиданности, наблюдаемые в очередях, на примере очереди с λ = 30 чел./ч и μ = 34 чел./ч. В среднем новые клиенты будут поступать в нее с интервалом в 2 минуты, а обрабатываться оператором примерно за 1 минуту 45 секунд. Это похоже на очередь у стойки регистрации в аэропорту. На рисунке 7.4 показан пример того, как могут «жить» M/D/1- и M/M/1-очереди с такими параметрами.
Рис. 7.4. Динамика M/D/1 и M/M/1 очередей. Более темным цветом выделены траектории каждого седьмого клиента в очереди. Длина очереди склонна к своеобразным колебаниям: она «дышит», то удлиняясь, то сокращаясь, оставаясь при этом в стационарном состоянии
В стационарном состоянии длина M/M/1-очереди n описывается геометрическим распределением:
. Зная это распределение, можно вычислить ожидаемую длину

.
Для нашего примера средняя длина очереди составит 7,5 человек.
Время обслуживания клиента (сумма времени ожидания своей очереди и собственно времени работы с оператором) в M/M/1-очереди описывается экспоненциальным распределением с параметром μ −
λ. Это приводит к значению среднего времени ожидания

.
Среднее время работы с каждым клиентом не превышает 2 минут, однако среднее время ожидания для нашего примера равно 15 минутам. Как видно, для стационарной M/M/1-очереди выполняется равенство:
Это и есть формула Литтла, которой мы воспользовались, стоя в очереди и от нечего делать занявшись подсчетами. Будучи очень простой, формула на удивление сильна: она выполняется для очень широкого класса очередей и в самых разных задачах. То, что в формулу Литтла входит только λ, а не μ, отражает основное свойство стабильной (устойчивой) очереди: она может задерживать клиентов, но не меняет их поток, который определяется значением λ. И даже если скорость работы оператора μ будет очень велика, среднее время ожидания все равно определяется входным потоком и уже скопившимся числом клиентов. А поскольку для устойчивых очередей λ<μ, мы получаем еще один закон подлости:
Даже с идеальным кассиром время стояния в очереди в кассу определяется бестолковыми покупателями.
Важная характеристика очереди — время занятости оператора, или длительность непрерывных периодов времени, в которые он обслуживает клиентов. Обозначим это время B. Периоды занятости перемежаются периодами простоя, когда по какой-то причине клиентов в очереди не оказывается. Клиенты приходят, ждут и уходят, а оператор остается работать, поэтому разумно предположить, что B>W. В действительности ожидаемое, среднее время занятости для M/M/1-очередей равно среднему времени ожидания, то есть B=W. Уже не вполне интуитивно понятный результат, но и это еще не всё: при той же интенсивности труда среднее время обслуживания клиента может стать существенно больше среднего времени работы оператора! Вот это уже кажется парадоксом. Получается, оператор в среднем умудряется работать меньше, чем в среднем обслуживается клиент!
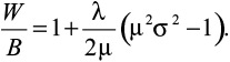
Как мы уже говорили, средние значения надо использовать осторожно. Объяснить этот парадокс и понять, что происходит в очереди, можно, привлекая дисперсию распределения времени обслуживания одного клиента pout(t). Еще в 1930-е австрийскому математику Феликсу Поллачеку удалось в общем виде вычислить отношение W/B для произвольной M/G/1-очереди:
Здесь σ — дисперсия распределения pout(t). В случае M/M/1-очереди σ = 1/μ, и это отношение равно 1. Но может случиться, что при том же значении среднего распределение pout(t) будет иметь большую дисперсию, и тогда W окажется больше B. На рисунке 7.5 показан пример, в котором pin(t) распределено экспоненциально с λ = 30 чел./ч, а pout(t) описывается гамма-распределением, соответствующим интенсивности μ = 34 чел./ч с дисперсией σ = 2/μ.
Рис. 7.5. Распределения для периодов между появлением новых клиентов (сплошная линия — экспоненциальное распределение) и времени обслуживания одного клиента (пунктирная линия — гамма-распределение)
Очередь остается стабильной, поскольку λ < μ и клиенты в среднем обслуживаются быстрее, чем приходят новые. Оператор работает хорошо: большинство клиентов обслуживаются очень быстро; но обратите внимание на долю «трудных» клиентов, которые формируют достаточно толстый хвост распределения. Их мало, но каждый отнимает много времени, и все в очереди вынуждены их ждать. Для примера, приведенного на рисунке, среднее время ожидания оказалось равно 35 минутам, хотя среднее время занятости оператора прежнее (15 минут). Получается, что, не переставая работать, оператор в среднем филонит, пока мы страдаем в очереди от безделья!
Динамика такой очереди отличается от динамики M/M/1. Для нее характерен несимметричный пилообразный рисунок с плавной восходящей линией и резким сбросом. Пока оператор занят «трудным» клиентом, постепенно вырастает длинный хвост, а потом, освободившись, оператор очень быстро с ним справляется (рис. 7.6).
Рис. 7.6. Динамика M/G/1-очереди, где время ожидания клиентов вдвое превосходит время занятости оператора. Горизонтальные темные полосы показывают периоды долгого ожидания очередного «трудного» клиента