Гугол
Истории Джерарда Гранта
В детстве мой двоюродный брат Джерард Грант любил рассказывать нам истории о привидениях. Он описывал, как видел в лунном свете призрак своего деда, молившийся перед статуей Девы Марии; или случай, когда он жил в кемпинге в отдаленной части Ирландии и, проснувшись, обнаружил, что бекон и яйца шипят на плитке возле его палатки. По его словам, тут действовал «маленький народец», лепреконы. Была даже байка о человеке, который предсказал собственную смерть. «Он увидел, как идет следом за самим собой, — рассказывал нам Джерард. — Доппельгангер, двойник. Точная копия. Тогда он понял, что умрет». И умер. Ну по крайней мере, так уверял Джерард.
Вы можете решить, что байкам о доппельгангерах не место в серьезной книге по физике и математике. Но когда дело доходит до рассказов о числовых колоссах, стоит ожидать неожиданного. Эта история начинается с гугола:
10 000 000 000 000 000 000 000 000 000 000 000 000 000 000 000 000 000 000 000 000 000 000 000 000 000 000 000 000 000 000 000 000 000
Это единица, за которой следует сто нулей, или десять в сотой степени. В гуголе есть десятичная элегантность, возможно даже декаданс, и мы можем смело считать его большим числом по любым земным меркам. Если бы вы выиграли в лотерею гугол фунтов стерлингов, вы могли бы купить себе роскошную яхту или даже целый флот роскошных яхт, авианосец или, если пожелаете, любое судно на всей планете. Вы сможете купить даже Соединенные Штаты Америки. США в целом, вероятно, обойдутся вам менее чем в 50 трлн долларов, что для гуголлионера пустяк. Вы сможете купить буквально все: каждую молекулу, каждый атом, каждую элементарную частицу в наблюдаемой Вселенной. Во Вселенной около 1080 частиц, так что с такой суммой вы можете позволить себе заплатить более квинтиллиона фунтов за каждую из них.
Легенда о гуголе начинается с Милтона Сиротты, девятилетнего племянника выдающегося математика Эдварда Казнера из Колумбийского университета. Казнер принадлежит к избранной группе людей, у которых есть собственное пространство-время, таких как Герман Минковский, Карл Шварцшильд и Рой Керр. Казнеровское пространство-время не похоже ни на одну Вселенную, которую вы когда-либо видели. Если бы вы оказались внутри него, то обнаружили бы, что одни измерения пространства расширяются, а другие сжимаются, как кусок теста, который растягивается в одну сторону и сжимается в другую. Впрочем, этот ужасающий мир не имеет ничего общего с гуголом. Когда Казнер придумывал это понятие, математик пытался передать необъятность бесконечности. Он подчеркивал, что даже те числа, которые кажутся очень большими, в любом практическом смысле исчезающе малы по сравнению с бесконечностью. Он решил проиллюстрировать этот факт, используя единицу с сотней нулей, но ему нужно было название для этой крохотной громадины. Десять дуотригинтиллионов или десять сексдециллиардов действительно не подходят. Предложение его племянника Милтона было гораздо лучше: гугол.
Забавно: число, которое превозносят за то, что оно такое большое, первоначально было введено, чтобы продемонстрировать, насколько оно мало. Вскоре Казнер и его племянник придумали еще одно фантастическое число: гуголплекс. Согласно первоначальному определению Милтона, гуголплекс — единица, за которой идут нули, «пока не устанешь». Чтобы выяснить, насколько велико оно в реальности, я провел эксперимент: за одну минуту я смог написать единицу со 135 нулями в довольно спокойном темпе, не устав, так что гуголплекс явно больше гугола. Чтобы немного подтолкнуть ситуацию, было бы неплохо нанять кого-нибудь, обладающего выносливостью Рэнди Гарднера. В середине 1960-х семнадцатилетний подросток Рэнди Гарднер бодрствовал 11 дней и 25 минут в рамках эксперимента по изучению последствий недосыпания. Если бы он потратил это время на написание гуголплекса, постоянно работая в моем неторопливом темпе, он бы написал единицу с 2 141 775 нулями. Это много, но в итоге Казнер потребовал менее расплывчатого определения гуголплекса и остановился на числе, далеко выходящем за рамки критериев Милтона. Казнер определил свое новое число как единицу, за которой следует гугол нулей. Вдумайтесь: гугол нулей! Десять в степени гугол! Хотя это число кажется поистине колоссальным, Казнер понимал, что существует бесконечное множество чисел, которые гораздо больше.
Например, гуголплексиан. Это единица, за которой следует гуголплекс нулей. Гуголплексиан также называют гуголплексплекс или гуголдуплекс. На деле эти последние термины намного мощнее, поскольку они позволяют нам использовать идею рекурсии для создания целой башни поистине огромных чисел. От гуголдуплекса можно перейти к гуголтриплексу (у которого за единицей следует гуголдуплекс нулей), а затем к гуголквадруплексу (с гуголтриплексом нулей) и т. д.
Но мы увлеклись. Мы ограничимся гуголом и гуголплексом, потому что их уже более чем достаточно, чтобы пролить свет на следующий фрагмент любопытной физики и вернуться к предостерегающей истории о двойнике-доппельгангере. Дело в следующем: когда мы воображаем гуголианскую или даже гуголплексианскую Вселенную, мы можем начать задаваться вопросом, реальны ли двойники. Под гуголианской Вселенной я подразумеваю такую, которая имеет размер не менее гугола в любых земных единицах измерения расстояния, которые вы выберете (метры, дюймы, фарлонги — конкретная единица не имеет особого значения). Гуголплексианская Вселенная еще больше — ее поперечник составляет гуголплекс тех же земных единиц.
Идея космологических двойников восходит к физику из Массачусетского технологического института Максу Тегмарку. Он вообразил огромную и великолепную Вселенную с далекими мирами, недоступными для любого телескопа, и оценил расстояние до вашей точной копии, имеющейся где-то далеко в космосе, — с точно такой же прической, тем же носом и даже теми же мыслями. Когда я впервые прочитал его заявление, я был настроен скептически. Не в обиду будет сказано, зачем Вселенной нужна еще одна ваша версия? Или моя? Или Джеймса Кордена? А потом я сел и задумался. Заявление Тегмарка было следствием голографического мира, величайшей иллюзии во всей физике.
Я решил самостоятельно оценить это расстояние, используя определенные важные идеи, которые привели некоторых величайших физиков мира к голографической истине. Это история, которую мне нужно будет рассказать вам за две главы, между гуголом и гуголплексом. Она начинается с энтропии и того, что она может означать для человека и черной дыры размером с человека. Она уводит нас вглубь квантовой теории, волшебного компонента микроскопического мира, определяя, что в реальности означает, что вы — это вы, и ваш двойник — тоже вы. Моя итоговая оценка получилась чуть более консервативной, чем оценка Тегмарка, но они сравнимы. Я получил, что расстояние между вами и вашим двойником (в метрах, милях или любых других земных единицах, которые вы хотите использовать) находится где-то между двумя нашими громадинами: гуголом и гуголплексом. Иными словами, вы не найдете своего двойника в гуголианской Вселенной, но в гуголплексианской они почти наверняка будут существовать. Возможно, они даже читают точную копию этой книги.
Похититель — энтропия
Взгляните в зеркало. Что вы видите? Каждый раз, когда я смотрю на свое отражение, я обычно замечаю пятнышки седых волос или перекрещивающиеся морщинки, унаследованные от моей испанской бабушки — моей абуэлиты. Они меня не волнуют. В конце концов, я физик-теоретик. Люди моей профессии не особо беспокоятся о своей внешности. Но я вижу ход времени, увеличение энтропии.
Если мы хотим оценить расстояние до вашего двойника, мы должны сначала понять, что такое энтропия, и осознать ужас ее увеличения. Энтропию часто понимают неправильно, легкомысленно считая синонимом беспорядка или разрушения. На самом деле ее лучше воспринимать как похитителя или тюремщика. Это ключ, который навсегда запирает энергию. И однажды сделает это с энергией всей Вселенной. Представьте себя на мгновение в викторианской Англии. Вы смотрите вниз на клубы черного дыма, поднимающиеся из труб какого-нибудь северного городка. Рабочие, как муравьи, ползут на фабрики; их дома, расположенные уступами, окутаны сатанинской дымкой смога. Именно тогда аппетит человечества впервые стал ненасытным: больше машин, больше энергии, больше мощности. Но это не может продолжаться вечно — и не потому, что планета умирает от последствий изменения климата, а из-за энтропии и ее угрожающего роста.
История энтропии началась на этих викторианских фабриках и в пытливом уме молодого французского военного инженера Сади Карно. Вдохновленный дымом и громом промышленной революции, Карно изобрел собственную область физики — термодинамику, посвященную динамике тепла и его связи с механической энергией. Всякий раз, когда вы сжигаете топливо, цель в том, чтобы преобразовать выделяющуюся теплоту во что-то полезное. Например, в двигателе вашего автомобиля топливо сгорает очень быстро, и получающиеся горячие газы толкают поршни. Затем это движение передается через коленчатый вал к колесам, и автомобиль едет. В начале XIX века никаких автомобилей не было, но идеи Карно вышли далеко за рамки поездов и фабрик того времени. Он понял, что ключ к двигателю — разница температур. Когда она существует, вы можете получить полезную механическую работу — например, перемещение поезда вперед или движущую силу машины. Однако тепло всегда будет переходить от горячего тела к холодному, пока разница температур не исчезнет, и на этом все закончится. Система прекратит работать, и вы уже не сможете подавать энергию к машинам.
Возможно, вы решите, что можно как-то перераспределить тепло (может быть, даже с помощью своей машины), чтобы снова что-нибудь нагреть или охладить в надежде на то, что разница температур опять появится и вы обеспечите какую-то полезную работу. Отчасти это верно, однако Карно сумел показать, что такое перераспределение всегда потребует вложить больше энергии, чем вы получите. Применительно к автомобилю эта идея означает следующее: вы преобразуете кинетическую энергию автомобиля обратно в топливо, и это избавляет вас от необходимости заправляться на бензоколонке. При достаточной ловкости вы могли бы вернуть часть этой энергии, но не столько, сколько вы изначально вложили, так что в итоге ваш двигатель заглохнет. Проблема в том, что в реальном мире вы всегда что-то теряете. Вы никогда не сможете полностью вернуть свои двигатели в исходное состояние, по крайней мере бесплатно. Знания такого рода были важны для викторианских предпринимателей, которые размышляли о потенциальной прибыли от своих заводов. Как мы увидим, они также будут важны для нас, если мы хотим понимать, как энтропийный психопат душит жизнь во всей Вселенной.
Трудно решить, что замечательнее всего в работе Карно: то, что он понял все это до того, как люди узнали о сохранении энергии (мы вернемся к этому чуть позже), или то, что он сделал это с помощью — так уж вышло — совершенно неправильной модели теплоты. Подобно многим своим современникам, он считал, что тепло — некий невесомый флюид, который называли тогда теплородом. На самом деле его не существует. В целом это не имело особого значения благодаря уникальной способности Карно отбрасывать детали и сосредоточиваться на том, что действительно важно. Через четыре года после публикации своих идей Карно уволился из армии, а через десять лет умер. В 36 лет его забрала эпидемия холеры, унесшая в 1832 году почти 20 000 жизней парижан. В соответствии с тогдашними правилами сожгли не только тело ученого, но и большую часть его вещей, включая несколько неопубликованных работ. Люди осознали гениальность Карно только через десятки лет, а содержание сожженных рукописей мы не узнаем уже никогда. Как мы увидим, такие трагедии повторятся много раз на протяжении всей истории термодинамики.
Одна из них — трагическая история Юлиуса фон Майера. После изучения медицины он в 1840 году отправился судовым врачом в экспедиции в Голландскую Ост-Индию. Если какой-нибудь моряк заболевал, Майер прибегал к кровопусканию: открывал вену пациента, чтобы попытаться облегчить симптомы. Обычная практика того времени привела Майера к поразительному открытию. Он заметил, что кровь в венах моряков была такой же ярко-красной, как и артериальная. А в более холодных краях, например в его родной Германии, венозная кровь, направляющаяся к легким, намного темнее и бархатистее, и причина тому — нехватка кислорода, который используется телом для поддержания тепла за счет медленного сжигания пищи. Майер понял: чтобы согреваться под тропическим солнцем, морякам достаточно сжигать меньше топлива, поэтому в их венах течет кровь с более высоким уровнем кислорода, чем можно было бы ожидать. Это означало эквивалентность тепла, выделяемого пищей в организме, и солнечного тепла. Майер пришел к выводу, что любое тепло эквивалентно энергии.
С помощью небольшого кровопускания судовой врач установил первый закон термодинамики: энергия никогда не создается и не уничтожается. Это вечный оборотень, который существует всегда, постоянно переходя из одной формы в другую. Он также определил, что теплота представляет собой форму энергии, в отличие от старой модели теплорода, которая вдохновляла Карно. Майер описал свои выводы, однако его работа не получила признания. Из-за отсутствия физического образования статьи немецкого медика отличались плохим изложением и изобиловали ошибками. Независимо к тем же выводам пришел английский физик Джеймс Джоуль, и благодаря большей научной строгости почти все заслуги в этом открытии приписали ему. Неприятности продолжались: вскоре после этого у Майера умерли двое детей, он впал в депрессию, попытался покончить жизнь самоубийством и закончил свои дни в психиатрической больнице — блестящий ученый, сломленный личной трагедией и пренебрежением коллег.
Ничто не может избежать проклятия термодинамики. В конце концов это коснется каждого из нас и каждой части Вселенной, в которой мы живем. Чтобы понять тот ужас, который ждет нас, предлагаю приготовить чашку чая. После заваривания вы видите разницу температур между чаем и окружающим воздухом. Согласно теории Карно, в этом случае можно установить крошечную тепловую машину, которая сумеет преобразовывать тепло в полезную механическую работу. Может, вы даже запустите какой-то крошечный моторчик. Разумеется, если вы отвлечетесь и оставите чай надолго, то тепло будет переходить от напитка к воздуху, пока они оба не дойдут до одинаковой температуры. В этом случае вы окажетесь вне игры: вся имеющаяся тепловая энергия внезапно станет бесполезной и недостижимой. Чтобы двигатель снова заработал, потребуется восстановить перепад температур, однако нельзя просто щелкнуть выключателем и ожидать, что он сам по себе появится. Для восстановления разности температур всегда нужны какие-то затраты энергии, и она должна поступать откуда-то еще. Проще всего вскипятить чайник и заварить еще одну чашку чая, но это не проходит даром.
Что-то забирает у нас энергию. Да, конечно, она не уничтожается, но уходит за пределы досягаемости. Кто или что ее забирает? Что заставляет тепло двигаться, когда мы надолго оставляем чашку горячего чая? Что стремится устранить разницу температур и помешать нам извлекать энергию, которую можно использовать?
Этот похититель — энтропия.
До этой идеи дошел немецкий физик и математик Рудольф Клаузиус, который пересмотрел работы Карно в свете открытий Джоуля и фон Майера. Энтропия — фактор переноса тепла, средство блокировки энергии. Клаузиус объявил ее свойством преобразований. Термин «энтропия» образован от греческого слова τροπή, означающего «обращение», «превращение», «поворотный момент», в частности в сражении. С помощью хитроумной математики Клаузиус вывел формулу, связывающую энтропию с энергией, которую она блокирует. Он обнаружил, что изменения энтропии растут вместе с изменениями энергии. Кроме того, энтропия оказывается наиболее чувствительной к ним при низких температурах, когда система находится в холодном состоянии.
Чтобы посмотреть на формулу Клаузиуса в действии, представьте чайник, который получает энергию от термоядерного взрыва, и сорт чая, способный выдержать невероятно высокие температуры. Этот термоядерный чайник нагревает чай до 100 млн градусов Цельсия (выше температуры солнечного ядра). Что произойдет, когда миллионная часть миллиардной доли джоуля тепла перейдет от чая в окружающий воздух? Поскольку напиток теряет часть своей тепловой энергии, то в соответствии с формулой Клаузиуса энтропия чая немного упадет — чуть менее чем на единицу. Когда воздух поглотит потерянную энергию, его энтропия возрастет. Вопрос: энтропия воздуха увеличится больше или меньше, чем на ту единицу, что была потеряна чаем? Ответ весьма примечателен. Окружающий воздух должен быть примерно в миллион раз холоднее такого сверхгорячего чая (иначе у вас серьезные проблемы). Поэтому его энтропия в миллион раз более восприимчива к изменениям энергии, — иными словами, она увеличится почти на миллион единиц. Возросшая энтропия воздуха значительно перевесит уменьшившуюся энтропию чая. Энтропия комбинированной системы — чая и воздуха — гарантированно возрастет.
Этот рост энтропии известен как второй закон термодинамики. Он говорит нам о том, что полная энтропия системы никогда не может уменьшаться. В некоторых случаях она остается на прежнем уровне, но в грубой хаотичной реальности физического мира она склонна повышаться, как это было с перегретой чашкой чая. Эта растущая энтропия становится причиной того, что ветряные мельницы и автомобильные двигатели всегда что-то теряют в окружающей среде. Второй закон можно применить даже к Вселенной в целом, и эта стрела времени, направленная из прошлого в будущее, показывает неуклонное возрастание энтропии. Именно это возрастание — эту стрелу, направленную в будущее, — я вижу, когда смотрю в зеркале на свои седые волосы. И это пугает меня — не из-за моего движения к старости, а из-за того, что все это означает для Вселенной. По мере того как энтропия Вселенной растет, она превращает все больше энергии в бесполезную передачу тепла. Она постепенно душит наши ресурсы, отнимая у нас способность выполнять работу, блокируя все больше полезной энергии, подобно смирительной рубашке, которая затягивается все сильнее. Будущее — постэнтропический кошмар, охваченный параличом. Нас ждет тепловая смерть, ждет Вселенная, в которой нет движения, действия.
Хотя Клаузиус объяснил, что делает энтропия, он не рассказал, что это такое. Так что же это? И какое отношение она может иметь к двойникам? Чтобы по-настоящему понять энтропию, нам нужно глубже заглянуть в двигатели промышленной революции, нужно посмотреть на газ внутри них.
По большей части газ — это ничто, обширное пространство пустоты, в котором беспорядочно перемещаются атомы и молекулы. Вы можете вообразить рой сердитых насекомых, запертых в пустом сарае, беспорядочно летающих от стены к стене слева направо и справа налево, сталкивающихся, падающих и снова поднимающихся. Чтобы представить, как газ становится все горячее, нужно вообразить, что эти мухи летают все быстрее. Под температурой понимается средняя кинетическая энергия, которая за счет движения есть у каждой молекулы (в нашем примере — у каждого насекомого). Время от времени при своем беспорядочном перемещении насекомые сталкиваются и упруго отлетают друг от друга. Они случайным образом отражаются от стен и предметов, и эта совокупная сила ощущается как давление. Если бы вы попали в этот сарай, они налетали бы на вас и вы бы ощущали их коллективное прикосновение. Если насекомых в сарае будет больше, они начнут налетать на вас чаще, касания станут сильнее, давление будет расти. Если мы начнем набивать ими сарай все больше, то такое давление раздавит вас и уничтожит. Как известно, именно такой ужас творится на Венере, где давление воздуха в девяносто раз выше, чем на Земле. Если вы окажетесь там, молекулы местного воздуха мгновенно раздавят вас насмерть.
Эту «насекомообразную» модель газа предложил в 1738 году Даниил Бернулли, швейцарский принц из аристократического Дома науки, в который входили его отец Иоганн и дядя Якоб — пионеры математического анализа и теории вероятностей. Модель Бернулли позволила ему вывести из механики молекулярных столкновений закон Бойля, дающий соотношение между давлением и объемом газа. Несмотря на этот успех и солидное положение физика в научных кругах, другие ученые восприняли модель Бернулли не особо приветливо. В XVIII веке большинство физиков все еще придерживались модели теплорода, где температура определялась как плотность этого флюида. Они не понимали, зачем Бернулли представил теплоту как форму энергии, заключенной в микроскопическом движении мельчайших частиц. В конце концов, это происходило за целый век до Майера и его кровопускательных прозрений. Бернулли просто опередил свое время.
Чтобы еще больше усложнить жизнь Бернулли, его отец Иоганн попытался украсть работу сына, неправильно датировав собственную (более позднюю) рукопись, чтобы казалось, что она была написана раньше. Дух соперничества со стороны Иоганна и раньше портил отношения между ним и Даниилом. В 1733 году их самостоятельные работы поделили награду Парижской академии. Этот компромисс так разозлил Иоганна, что он порвал с сыном.
Когда теория теплорода умерла от руки Клаузиуса, блестящую идею Даниила Бернулли ждало возрождение. В частности, ею занимались трое ученых: Максвелл, маэстро электричества и магнетизма; тихий американец Джозайя Уиллард Гиббс; и в первую очередь — Людвиг Больцман, измученный гений, который в конце концов покончил с собой.
Клаузиус, Максвелл, Больцман, Гиббс и другие физики начали применять к модели Бернулли статистические методы. В конце концов, она описывала газ, где многочисленные беспорядочно движущиеся частицы отскакивали и прокладывали себе путь сквозь пустое пространство. Эти ученые показали, как из микроскопического хаоса могут возникать коллективные явления. Как и в случае гигантских стай скворцов, где не видны отдельные птицы, температура и давление в газе не определены в базовом микромире, однако проявляются на макроуровне благодаря силе больших чисел. Температуру можно воспринимать через среднюю кинетическую энергию молекул и то, как она изменяется вместе с энтропией. Но как насчет самой энтропии? Что это?
Энтропия — то, что учитывается.
Я говорю в буквальном смысле. Как объяснил Больцман, энтропия — на самом деле подсчет микросостояний. Микросостояние похоже на итоговую перепись для какого-нибудь макроскопического объекта; оно говорит вам все, что нужно знать о расположении всех атомов и молекул, где они находятся и что делают. Когда мы рассматриваем какой-то объем газа (или яйцо, или динозавра), мы знаем, что он состоит из множества мельчайших частиц. Каждый атом находится в той или иной точке, вращается определенным образом, двигается с определенной скоростью через короткие промежутки пространства, и таких атомов миллиарды и миллиарды. При этом сами атомы состоят из строительных блоков, имеющих, разумеется, собственные свойства. Чтобы полностью описать газ, яйцо или динозавра, вы можете создать (если сошли с ума) гигантский массив данных, перечислив положение, скорость, спин, любимый цвет, книги, музыку и любые иные характеристики для миллиардов строительных блоков в этой системе. Такой массив данных будет описывать конкретное микросостояние, предоставляя вам полную и точную информацию о рассматриваемом объекте.
Но дело вот в чем: даже если вы измените положение нескольких атомов здесь или там, никто этого не заметит. Яйцо будет выглядеть точно так же, объем газа сохранит ту же температуру, а динозавр по-прежнему останется трицератопсом, который должен был умереть 65 млн лет назад. Когда мы смотрим на крупные объекты, глупо беспокоиться обо всех мелочах. Энтропия — мера этой скрытой детальности. Она учитывает все микросостояния, которые поддерживают неизменность макроскопических свойств объекта. Со временем, когда яйцо или динозавр начинают распадаться, превращаясь в пыль, пропадает все больше их микроскопических деталей. Глядя на пыльные останки, все труднее отличить одно возможное микросостояние от другого. С тревожной неизбежностью количество микросостояний яйца или динозавра со временем увеличивается. Так растет энтропия: всегда возрастает и никогда не уменьшается.
Энтропия не обязательно связана с молекулами и атомами. Мы можем говорить об энтропии в любом контексте, пока существуют какие-то микросостояния и мы можем их подсчитать. Возьмем, например, программное обеспечение для распознавания лиц. Мой телефон признает меня, хотя я не всегда принимаю точно такое же выражение лица, как при регистрации. Он отбрасывает все лишние данные и считает множество чуть-чуть различающихся моих изображений одним и тем же объектом. Если бы вы сосчитали все изображения, то получили бы меру энтропии для моего лица.
Вот более количественный пример: в английской Премьер-лиге играют двадцать футбольных команд, которые в ходе сезона проводят с каждым из соперников по одному матчу дома и на выезде. В общей сложности получаем 20 × 19 = 380 матчей за сезон, каждый заканчивается одним из трех возможных исходов: победа дома, победа на выезде или ничья. Это означает, что существует 3380 разных вариантов футбольных сезонов. Однако многие из них приведут к одинаковой турнирной таблице, если нас интересует только количество очков, набранных чемпионами, занявшими второе место, и т. д. Мы можем думать о различных исходах как о микросостояниях и для любой итоговой таблицы подсчитать все способы, которые приводят к одному и тому же распределению очков. Это дало бы нам меру энтропии для Премьер-лиги.
Математика Премьер-лиги с двадцатью командами слишком сложна, чтобы разобраться в ней во всех подробностях, поэтому сократим число команд и представим урезанную лигу, в которой всего два соперника: «Ливерпуль» и «Манчестер Юнайтед». Ради математической простоты мы уберем все остальные команды, включая «Эвертон», «Арсенал», «Тоттенхэм Хотспур» и даже живущий на нефтяные деньги «Манчестер Сити». В сезоне такой ужатой Премьер-лиги состоятся всего две игры, а значит, возможны всего девять разных исходов. Если нас не беспокоит вопрос, кто на первом месте, а кто на втором, разные результаты матчей могут привести к одинаковой турнирной таблице. Поскольку за победу начисляется три очка, за ничью — одно, а за поражение — ноль, девять возможных исходов дадут четыре разные турнирные таблицы, как показано на следующем рисунке.

Посмотрим на таблицу A, где чемпион набирает шесть очков, а команда, занявшая второе место, не получает ни одного. Это можно реализовать двумя способами: «Ливерпуль» выиграет оба матча или проиграет оба. Иными словами, есть два разных микросостояния, которые дадут одну и ту же турнирную таблицу. Такой подсчет дает нам меру энтропии для таблицы А. Или, точнее, ее дает нам натуральный логарифм числа состояний.
Мне нужно быстренько объяснить, что такое логарифм. Логарифм числа X по основанию a (обозначается logaX) — такое число b, что ab = X, то есть степень, в которую нужно возвести основание, чтобы получилось X. Например, если мы возьмем основание 10, то логарифм 100 по основанию 10 равен 2, поскольку 102 = 100, и мы можем написать log10100 = 2. Если в качестве основания логарифма берут число Эйлера e ≈ 2,71828, то обычно используют обозначение ln и говорят о натуральных логарифмах. Например, lne2 = 2, lne3 = 3, lne0,12 = 0,12 и т. д. Натуральные логарифмы в науке используют гораздо чаще, чем десятичные.
Больцман предложил формулу для энтропии, использующую натуральный логарифм: S = lnW, где W — количество соответствующих микросостояний или количество способов. Вернемся к сокращенной Премьер-лиге. Энтропия таблиц A и C равна ln2 ≈ 0,693, энтропия таблицы B составляет ln4 ≈ 1,386, а энтропия таблицы D равна нулю (поскольку ln1 = 0). Точно так же мы считаем состояния и энтропию, когда говорим о яйцах или динозаврах. Единственная разница заключается в используемых числах. Количество микросостояний, которые могли бы описать съеденное на завтрак яйцо (или динозавра!), крайне велико; там понадобятся гуголы, в отличие от чисел 1, 2 и 4, которые обнаружились у нас для результатов двух команд в Премьер-лиге.
Итак, у нас определена энтропия для Премьер-лиги. Как увидеть ее вероятное увеличение со временем? Это довольно легко. Представьте, что сезон закончился таблицей А и, соответственно, энтропией ln2. Что произойдет в следующем сезоне? Если отдельные исходы матчей равновероятны, то с вероятностью 4/9 энтропия останется на том же уровне ln2 (это случится, если в следующем сезоне реализуется таблица A или таблица C), с вероятностью 4/9 энтропия увеличится до ln4 (если после сезона получится турнирная таблица B) и с вероятностью 1/3 она упадет до нуля (если получится таблица D). Таким образом, даже в нашем небольшом примере энтропия с большей вероятностью будет расти, чем падать.
Когда мы изменим числа до гугольных масштабов, необходимых для учета количества атомов в яйце или динозавре, эти преобладающие вероятности станут подавляющими. Увеличение энтропии уже не просто вероятно, а неизбежно. Представьте кубик льда при комнатной температуре. Эта система описывается микросостояниями для льда и со временем будет переходить в другие возможные микросостояния. Система совершает несколько микроскопических скачков между различными состояниями, и никто не удивится, обнаружив, что в итоге появится лужа. Есть небольшие шансы, что кубик останется льдом, но они ничтожны. При комнатной температуре мы получаем небольшое количество возможных ледяных микросостояний по сравнению с большим количеством водяных, а это просто означает, что лед с большой вероятностью растает.
С помощью этих статистических игр мы также можем понять законы термодинамики, в соответствии с которыми энергия попадает в плен к энтропии, а Вселенная движется к параличу. Ведь чем больше микросостояний вы накапливаете, тем больше растворяются ваши знания о яйце, динозавре или лужице. В каком-то смысле становится все труднее добыть полезную энергию, потому что вы не знаете точно, где она находится. Это немного напоминает попытку вора украсть драгоценный камень: если тот спрятан в большом особняке с сотнями комнат, то, скорее всего, на поиски уйдет очень много времени. Если особняк достаточно велик, а вор ищет наобум, он может никогда не найти драгоценность. То же и с энтропией, которая размывает энергию, из-за чего нам становится все труднее ее украсть. Больцман понял, что если вы пустите все на самотек, то беспорядок и невежество всегда будут возрастать. Посмотрите новости и послушайте политиков, и вы быстро поймете, что австрийский физик был прав.
Работа Больцмана поистине замечательна. Он не просто небрежно прыгал от микроскопического к макроскопическому, от лилипутов Лилипутии к великанам Бробдингнега. Он построил мост на прочном математическом фундаменте и четко показал, как по нему безопасно двигаться. Разумеется, как обычно, эти идеи физика встретили сопротивление, поскольку не все были готовы принять реальность атомов и преобладание пустого пространства. Справляться с таким сопротивлением Больцман оказался не готов. Блестящий ученый имел проблемы с психикой и отличался склонностью к резким перепадам настроения, маниакальному поведению и глубокой депрессии. Все закончилось еще одной трагедией для термодинамики: Больцман повесился в Дуино (недалеко от Триеста), когда его жена и дочь плавали в заливе. Он не оставил предсмертной записки. Неизвестно, привели ли к этому отчаянному поступку профессиональные проблемы ученого. Но мы точно знаем, что годом ранее Эйнштейн опубликовал работу, оставшуюся Больцману неизвестной, которая окончательно убедила научный мир в реальности атомов и соответствовала мосту, которым австрийский физик связал микро- и макромир.
Но вернемся к вам и вашему двойнику. Как яйцо, динозавр или определенный объем газа, вы тоже состоите из миллиардов атомов и молекул. Невозможно точно знать, где находятся все эти атомы и что они делают. В результате не существует одной схемы, одного массива данных, который мог бы идеально описать вас — человека, читающего эту книгу в своем макроскопическом мире. Таких массивов много. Разумеется, существует масса других микросостояний, которые не имеют ничего общего с вами — человеком, читающим эту книгу. Среди них найдутся те, которые описывают вас, но читающего журнал Hello! или корову, читающую журнал Hello! или газ из молекул при заданных температуре и давлении, и даже такие, которые описывают всего лишь пустое пространство. Вы занимаете (более или менее) кубический метр пространства, и для этого объема мы могли бы вообразить бесконечное количество различных сценариев — слегка различающихся вариантов вас, коров, газов, вакуумов. Поэтому должно существовать бесконечное количество микросостояний, которые в принципе могли бы описать любой конкретный кубический метр пространства. Верно?
Нет.
Это число конечно. Если бы оно было бесконечно, ничто не мешало бы энтропии в этом кубическом метре расти и расти, от гугола к гуголплексу, к числу TREE(3) и далее. Однако что-то ее останавливает: гравитация. Клаузиус учил нас, что энтропия и энергия растут совместно, а Эйнштейн объяснил, что энергия — это масса. Если вы попытаетесь втиснуть слишком много энтропии в кубический метр пространства, гравитация почувствует массу соответствующей энергии и призовет тюремщика. Неизбежно сформируется черная дыра.
Черные дыры — это энтропийный предел. Они скрывают свои микроскопические секреты лучше, чем кто-либо и что-либо. Это безликие незнакомцы, чью ужасную историю вы никогда не узнаете и даже не сможете узнать. Когда вы смотрите на них и пытаетесь что-то измерить, черные дыры сообщают о себе лишь три параметра: массу, заряд и спин. Все остальное остается скрытым. Представьте, что в глубине своего сада вы нашли маленькую черную дыру. Как узнать, из-за чего она образовалась? Предположим, на следующий день она все еще там же, но стала тяжелее, увеличив свою массу примерно на массу слона. Можете ли вы уверенно заявить, что дыра поглотила именно слона? Возможно, это было полное собрание сочинений Шекспира, у которого масса, заряд и спин совпадают с теми же характеристиками слона? Оба сценария привели бы к той же черной дыре с теми же тремя характеристиками, так откуда нам знать, какой из двух сценариев осуществился в реальности? Откуда знать истинную историю черной дыры?
Это умение черной дыры хранить тайны намекает на ее непревзойденную способность сохранять энтропию. Существует много причин для ее появления (будь то слоны или шекспировские тексты), и все же ни одна из них не закодирована в ее макроскопических характеристиках. Все теряется в сообществе возможных микросостояний, какими бы они ни были. Для любого данного объема пространства нет ничего более энтропийного, чем черная дыра, которая располагается в точности внутри этого объема, а ее горизонт событий касается внешнего края. Но если черные дыры — это энтропийный предел, то сколько в них имеется энтропии?
Для большинства макроскопических объектов (таких как яйца, люди или динозавры) энтропия растет с увеличением объема. Например, мама-трицератопс, которая в десять раз крупнее своего детеныша по всем трем измерениям, будет обладать примерно в 1000 раз большей энтропией. Это интуитивно понятно: взрослое животное занимает объем, который в 1000 раз больше и, следовательно, вмещает в 1000 раз больше атомов. Каждый атом дает несколько новых возможностей. Например, атом может вращаться в двух направлениях, и мы получаем две возможности для каждого атома. Для сотни новых атомов у нас 2100 вариантов, для миллиона — 21 000 000 вариантов и т. д. Ясно, что количество таких вариантов, микросостояний при увеличении количества атомов растет экспоненциально. Энтропия — логарифм этой величины, она избавляет от степени, так что она должна быть пропорциональна количеству атомов. Поэтому для мамы-трицератопса энтропия в 1000 раз больше, чем для ее детеныша.
Однако трицератопс — не такой уж энтропийный объект. Мы могли бы втиснуть в то же пространство миллиард трицератопсов, порождая давку ящеров с гораздо большей энтропией, но с тем же объемом. Яйца, люди, трицератопсы — ни один из этих объектов не находится на вершине энтропийной пищевой цепи. Там находятся черные дыры, и так уж вышло, что энтропия большой и маленькой черных дыр сильно отличается от энтропии мамы-трицератопса и ее детеныша. Энтропия черной дыры растет пропорционально площади горизонта событий, а не ее объему. Это противоречит интуиции, но только потому, что мы не привыкли иметь дело с объектами, которые настолько стиснуты сокрушительными объятиями гравитации.
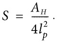
В начале 1970-х израильско-американский физик Яаков Бекенштейн и его британский коллега Стивен Хокинг показали, что черная дыра с горизонтом событий площадью AH имеет энтропию, определяемую формулой
Символ lp означает планковскую длину. Это самое маленькое расстояние в физике, имеющее смысл: около одной миллиардной от триллионной доли триллионной доли сантиметра. Эта длина соответствует масштабам, когда мы начинаем терять контроль над нашим пониманием гравитации, — здесь последняя начинает заигрывать с микромиром квантовой механики, где ткань пространства и времени становится нерезкой, размытой и, возможно, даже рвется.
Хокинг смог определить компоненты этой формулы с помощью определенных хитроумных термодинамических рассуждений, однако надлежащего микроскопического вывода этого уравнения по-прежнему не существует. А на деле нам больше всего хотелось бы взять типичную черную дыру и идентифицировать все микросостояния, соответствующие трем ее макроскопическим свойствам — массе, заряду и спину. Затем мы бы подсчитали эти микросостояния и проверили, будет ли получившаяся энтропия точно соответствовать формуле Бекенштейна и Хокинга. Никто еще не выяснил, как это сделать, — по крайней мере, для тех черных дыр, которые болтаются в центрах галактик. Решение этой проблемы остается заветной мечтой для исследователей черных дыр.
Вернемся к тому кубометру пространства, который вы занимаете, а на самом деле к любому. Сколько микросостояний потребуется, чтобы быть абсолютно уверенными, что вы знаете всю его физику? Чтобы ответить на этот вопрос, нам нужно рассмотреть все возможные микросостояния и довести дело до энтропийного предела. Иными словами, нужно взять самую большую черную дыру, которая может поместиться внутри этого объема. Площадь горизонта событий у нее будет около квадратного метра, поэтому по формуле Бекенштейна и Хокинга получаем энтропию, равную примерно 10
69. Это соответствует примерно

микросостояниям. Вот он, предел. Это самое большое количество микросостояний, которое вам когда-либо понадобится для описания произвольного кубического метра пространства.
Будучи амбициозным гугологом, я дам этому огромному, но конечному числу собственное имя: доппельгангион. Мы определили это число на стыке двух глав — между гуголом и гуголплексом. Вполне уместно: в конце концов, доппельгангион находится где-то между этими двумя колоссами. Он сильно возносится над гуголом, но не дотягивает до гуголплекса. Чтобы в полной мере оценить его значимость, нам придется продолжить поиски вашего двойника в , изучая вопрос, что значит «быть вами» — вплоть до субатомного уровня.
Благодаря этому энтропийному пределу я знаю сейчас, что тот кубический метр, который занимаю, когда пишу эти слова, описывается по крайней мере одним из возможных микросостояний. Это также верно и для кубометра пространства, занимаемого принцем Гарри, Меган Маркл или газообразным инопланетянином из галактики Андромеды, замышляющим межгалактическую войну. И это правда о вас. Вы лучше, чем один на гугол, но не дотягиваете до одного на гуголплекс. Для любого из нас лучший вариант — оказаться одним на доппельгангион.
Возможно, я слишком добр. Из

микросостояний найдется сразу несколько, которые могут адекватно описать вас и ваши макроскопические черты — тот же нос, те же уши, то же довольное выражение лица и т. д. Предположительно ваш двойник использует такие же состояния. Если бы мы стремились к большей точности, можно было бы попытаться немного сократить число соответствующих микросостояний. Мы могли бы спрашивать о точном состоянии отдельных атомов в вашем организме или нейронах, инициирующих мысли в вашем мозге. Все зависит от того, насколько тщательно мы хотим определить вас и заодно вашего двойника. Насколько точным должно быть совпадение, чтобы говорить о двойнике? Достаточно ли вам одинаково выглядеть или также требуется, чтобы у вас были одинаковые мысли и одинаковое расположение атомов? Однако в тот момент, когда вы начинаете измерять состояния отдельных атомов, вы попадаете в микромир, в царство квантовой механики, то есть в тему . Поиск вашего двойника превратился в квантовый квест. Если честно, так было всегда. Вселенная — квантовый объект. Вы — квантовый объект.
Как и ваш двойник-доппельгангер.