Книга: Создаем игры с нуля! 3 книги для старта в гейм-деве
Назад: Глава 11 Переменные. Программистская логика в структуре сюжета
Дальше: Глава 13 Поэпизодный план

Глава 12
Проблема выбора

Главное отличие игр в том, что они обладают дополнительной гранью сторителлинга – интерактивностью. В свою очередь, данная характеристика формируется от прохождения, где игрок постоянно делает выборы, получая и создавая свой уникальный опыт. В интерактивных историях, где основа и есть развитие фабулы и следование по ней, выборы являются и вовсе основополагающим элементом. Именно от них зависят сюжетные ветвления и выстраивание пути, который приведет к тому или иному финалу (в тех проектах, где предусмотрено несколько концовок). Это один из самых эффективных инструментов вовлечения, интерактивности и высокой агентивности игроков, особенно если выборы создают стойкую уверенность в том, что каждый из них очень важен.

 

 

Однако у разработчиков может возникнуть серьезный вопрос: как удержать игрока в рамках и при этом не ограничивать его свободу? Для ответа на него следует сначала разобраться в том, какие же бывают выборы и как они применяются в нарративном дизайне.

Типы выборов по контенту

● Ключевые
● Декоративные
● Очевидные
● Отложенные
● Случайные (слепые)
● Моральные
Ключевые выборы
Собственно, это самые важные выборы, которые влияют на сюжетное ветвление истории. На значимые выборы мы можем назначать переменные, которые запоминает программа, и далее от них зависит ветвление интерактивной истории, которое увеличивает ее сюжетную агентивность и интерактивность. Именно они создают уникальный путь прохождения у каждого игрока.
Декоративные выборы
Это выборы, которые не влияют на сюжет, но придают интерактивность истории. Решение, которое принимается игроком в данной точке, кажется важным, но на самом деле ни на что не влияет. Традиционный пример такого выбора – это развилка в лабиринте. Направо пойдешь – найдешь сундук с золотом, налево пойдешь – увидишь шкатулку с бриллиантами.

 

 

Однако главный герой на данном этапе, упиваясь богатством, не понимает, что, как бы он ни петлял по коридорам, все равно встретится с драконом, который хранит сокровище и ни за что не захочет его отдавать. То есть возникает полное ощущение, что игроком выбор сделан правильный, он приносит удовольствие, но при этом сюжет не сильно разветвляется и сходится в единую точку – сражение с монстром. Часто декоративные выборы встречаются в беседах персонажей, чтобы создать атмосферу реальности происходящего – передать живой разговор, который украшает историю.
Декоративные выборы никак не влияют на финалы: на них не вешаются переменные, так как их не нужно запоминать, ведь все сведется к общему повествованию. Они существуют больше для развлечения игрока. Это очень эффективный способ поддерживать вовлечение малыми силами, не создавая огромного количества контента со всеми вытекающими трудозатратами. Здесь важно помнить, что «дурить» игрока постоянными декоративными выборами не стоит, использовать их нужно порционно и к месту.
Очевидные выборы
Это выборы, результат и последствия которых видны сразу. Для того чтобы игрок понимал, что ждет его дальше, мы обязательно поясняем это. Соответственно, если у нас идет гардероб с переменой одежды, то при выборе платного и более стильного варианта мы получаем реакцию восхищения на него и, напротив, вздох сожаления при решении нарядиться в обычный костюм. Если на перекрестке у нас лежат меч и волшебная палочка, то очевидно, что, выбирая оружие, мы пойдем по пути воина, а при выборе магического предмета – по пути колдуна. При выстраивании отношений с другими персонажами будет ясно, что если мы кому-то нагрубим в ответ, то снизим симпатию, а если ответим радушием, то сделаем шаг на пути к крепкой дружбе. Естественно, все зависит от конкретной истории, а данные примеры служат лишь для общего представления.
Информирование игрока в данном случае важно, чтобы он имел представление о возможных последствиях и принимал взвешенные решения, чувствовал контроль над историей. Однако строить повествование лишь на очевидных выборах не совсем правильно, потому что будет создаваться впечатление, будто разработчик ведет игрока за руку. Работать с ними нужно осторожно и взвешенно.
Отложенные выборы
Это выборы, результат которых виден не сразу, а, например, через два эпизода. Возможно, путь по ним будет разветвляться на протяжении всей истории. Может, последствия их мы будем наблюдать в кульминационные моменты или ощутим их прямое влияние только в финале. Во время последствий отложенных выборов игрок должен осознать, какие именно выборы оказали эффект на определенные события, изменения персонажа или концовку.
Например, главный герой в начале истории мог поучаствовать в драке с деревенскими забияками или разобраться с конфликтом звонкой монетой. И затем продолжил путь – спас принцессу и освободил ее от дракона, совершенно забыв о происшествии с селянами. Однако в финальной эпичной битве вдруг выясняется, что деревенские драчуны были не так просты, как казалось. Если главный герой вступил с ними в схватку в начале повествования, селяне окажут ему сопротивление, так как давно исповедуют культ дракона. Если же главный герой откупился монетой и подружился с ними, то деревенские парни станут на его сторону, потому что дракон уже вконец всех достал – похищать молодых девушек и сжигать зерно на полях.
Соответственно, мы видим, насколько отложенные выборы могут изменять прохождение и выстраивать уникальный путь героя. Это отличный инструмент игрового сценариста, ведь система отложенных выборов увеличивает реиграбельность истории.
Случайные (слепые) выборы
Одним из основополагающих понятий во всех играх (не только компьютерных, но и азартных, и спортивных) является случайность, именно она дает то самое вовлечение и интерес участников процесса. Интерактивные истории в этом плане не исключение. И последствия некоторых выборов могут формироваться случайным образом. Иногда следует ослаблять контроль над происходящим как раз для того, чтобы возникла возможность стихийности событий. Однако делать это нужно редко и там, где выборы не требуют серьезных решений, иначе игрок перестанет понимать, что вообще творится в выстраиваемом им мире. Данные выборы называют также слепыми.
Например, волшебник в ответ на его подвиг и спасение жизни решил подарить главному герою чудесный предмет и предоставляет на выбор два ларца. Что в них лежит, игрок не знает, но при этом понимает – это будет приятный сюрприз, некий магический предмет, который впоследствии сыграет свою роль и поведет сюжет по своей ветви.
Еще лучше, если выбор даст игроку некую дилемму. Очень важно, чтобы неопределенность не оказывала существенного влияния на выбор, иначе игрок поймет, что от его действий ничего не зависит. К примеру, в карточной игре Alina of the Arena есть дерево приключений, где игрок может попасть в одном из маршрутов на событие, где демон предлагает игроку сделку: получить +1 урон всем картам атаки в обмен на потерю одной случайной карты защиты или получить +1 очко к защитным картам в обмен на потерю одной случайной атакующей карты.
Игрок информирован о рисках и может взвесить все «за» и «против», прежде чем сделает выбор. При этом здесь сохраняется азарт, когда игрок верит, что потеря коснется какой-то менее значительной карты из имеющегося набора.
Моральные выборы
Пожалуй, самыми непростыми в разработке и отыгрыше являются моральные выборы. Это сложные по психологическому накалу решения, над которыми игрок может долго размышлять. Данная система стала основой для знаменитой игровой трилогии The Witcher от CD Projekt Red: из двух зол выбирается меньшее.
Какими могут быть моральные выборы? Например, если у героя есть две цели, внутренняя и внешняя: спасти любовный интерес или королевство от войны. Или если персонаж втянут в конфликт нескольких лагерей, обладающих негативными качествами или, наоборот, равноценными позитивными характеристиками. Ему следует поддержать лишь одну сторону, а другие погибнут в разрухе и упадке. Или до простоты банальный пример: кого из друзей спасти от смерти. В данных ситуациях игроку приходится искать компромисс с самим собой. А мудрые разработчики могут заложить возможность монетизации, при которой моральные выборы будут не такими болезненными или вовсе иметь хорошие последствия для главного героя.

Выборы по структуре Сэма Кабо Ашвелла

Американский специалист по интерактивным историям, нарративному дизайну в ролевых играх и так называемых книгах-играх Сэм Кабо Ашвелл предлагает следующую структуру стандартных схем выборов.
● Пещера с лабиринтом
● Перчатка
● Бутылочное горлышко
● Квест
● Открытая карта
● Сортировочная шляпа
● Отдельные модули
● Развивающийся цикл
Пещера с лабиринтом
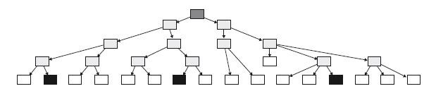
Это схема со значительным ветвлением, где вес и важность всех выборов приблизительно одинаковы. Они нигде друг с другом не соприкасаются или соприкасаются в минимальной степени. Соответственно, в финале мы имеем множество разных концовок. Данная схема, пожалуй, самая очевидная, ее давно применяют при построении сюжетов в интерактивных историях. «Пещера с лабиринтом» хороша для повторного прохождения, так как каждое ветвление, по сути, уникально и имеет оригинальную концовку. Это ветвление, которое увеличивается вширь, а не вглубь, поэтому оно обычно короткое, часто основывается на хронологической последовательности, однако не бывает слишком привязано к ней. «Пещера с лабиринтом» дает широкие возможности выбора и свободы для игрока, что делает данную систему отличным подспорьем для создания интерактивных историй любого формата.
Примеры: работы Эдварда Паккарда The Cave of Time, Sugarcane Island, также A Dark and Stormy Entry от Эмили Шорт, Pretty Little Mistakes.

 

Перчатка
Эта структура относительно линейная, развивающаяся в длину, а не в ширину. Ее основной стержень имеет довольно короткие ответвления, которые обычно приводят либо к смерти главного героя, либо к чекпойнту для перезагрузки и отбрасывают назад, либо довольно быстро возвращают в общую линию повествования. «Перчатка» формирует одну целостную историю с декоративными выборами, необязательными событиями или же выходом на плохую концовку. Если есть несколько финалов, то они зависят от последнего совершенного игроком выбора. «Перчатка» при эволюции может трансформироваться в систему «Бутылочное горлышко».
Несмотря на то что для игроков очевидна невозможность свернуть с пути, это не делает повествование скучным и навязчивым, ведь небольшие ответвления могут привести к смерти или каким-то негативным последствиям, стать тупиком или вернуть обратно, или просто существуют для красного словца и декорации. Обычно сеттинг для данной структуры интерактивной истории подразумевает опасность, риск, приключения и даже черный юмор. Такие игры основаны на риторических и глубокомысленных выборах, и линейность здесь очень важна, так как позволяет игроку узнать все основное содержание за полное прохождение. «Перчатка» популярна для интерактивных историй на Twine-игр.
Примеры: Zork: The Forces of Krill, Our Boys In Uniform.

 

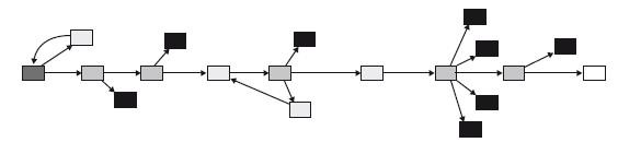
Бутылочное горлышко
Это достаточно разветвленная система, на разных этапах которой все ветви приводятся к основному стержню повествования, к определенному важному общему событию. Она может расширяться, а потом сужаться, напоминает немного нитку с бусами или же линию бутылок с узкими горлышками. От «Перчатки» отличается тем, что во всех нарративных битах отслеживается их состояние, что дает возможность игроку влиять на ситуацию.
Обычно данная структура используется для тех историй, где важно развивать персонажа: игрок может изменить биографию и характеристики героя с построением хорошего сюжета под его трансформацию. В «Бутылочном горлышке» мы видим единое начало, а вот дальше история создается, исходя из выборов и результатов, которые накапливаются и приводят к той или иной уникальной сюжетной ветке и, соответственно, к одному из нескольких финалов.
Примеры: Long Live the Queen и Choice of Games Дэн Фабулича.

 

Квест
В «Квесте» могут развиваться несколько отдельных линий, которые в итоге сходятся к одному или нескольким финалам. Структура состоит из модулей с плотным скоплением нарративных битов, а за их пределами такой концентрации не наблюдается. Есть элементы, которые приводят к смерти или возвращению на чекпойнт при неудачном выборе игрока.
Эта структура несет в себе характеристики рассматриваемых выше, поэтому популярна для интерактивной литературы. «Квест» прекрасно подходит для путешествий и исследований местности, для данной схемы хороши сеттинги с картами, акцентом на изучение локаций и географический масштаб. Герой попадает в разные события, связанные с местностью, поэтому необходимо детально проработать игровой мир и лор.
Примеры: книги Fighting Fantasy и их последователи (Lone Wolf, 80 Days).

 

Открытая карта
В «Открытой карте» элементы связаны и могут переходить в друг друга, таким образом игрок получает полное ощущение свободы. Как и в «Квесте», тут важную роль играют география и исследование местности, но нет привязки к заданному направлению – можно курсировать по нарративным битам, как заблагорассудится. Особенно хороши реверсивные переходы между важными событийными узлами. Данная схема не нова, она характерна для историй, где предположения являются неотъемлемой частью языка гипертекстовых новелл вроде Le Reprobateur.
Примеры: Duelmaster, Chemistry and Physics.

 

Сортировочная шляпа
Данная система – это баланс между широтой открытых структур и глубиной линейных. В начале она очень похожа на «Бутылочное горлышко»: часто ветвится и сходится воедино, накапливая результаты и определяя, какая будет выбрана сюжетная ветка для прохождения. Далее повествование становится значительно более линейным, представляя собой вариант «Перчатки». Соответственно, игроку предстоит определиться с направлением пути на стартовой точке, а затем будет выбрана игра, по которой он отправится в путешествие. Получается эдакий хаб с разными прохождениями, по сути, разными играми, и при этом для игрока сохраняется достаточная свобода в принятии решений.
Примеры: Katawa Shoujo, Magical Makeover.

 

Отдельные модули
Данная структура применима в основном для компьютерных игр, в частности для песочниц. Она характеризуется тем, что в ней нет общего сюжетного стержня, лишь разрозненные ветвления. Это модули с определенными событиями, доступные при каких-то обстоятельствах выбора либо полученные случайным образом.
Подобную схему непросто разрабатывать, она требует большого количества контента. Для игрока важным мотивом становится прокачивание характеристик персонажа для преодоления препятствий, во многом это механика гринда.
Примеры: StoryNexus, Bee.
Развивающийся цикл
Эта система представляет собой замкнутую цепь, прокручивающуюся снова и снова, при этом благодаря отслеживанию состояний каждый раз открываются новые варианты и исчезают прежние. «Развивающийся цикл» остается стабильным миром, но при этом есть импульс в формировании повествования. Это могут быть повторяющиеся рутинные события персонажа, которые необходимо выполнить независимо от окружения.
Примеры: Bee, Trapped in Time, Solarium.

 

Типы выборов по функциональности

По использованию в интерактивных историях выборы могут отличаться своими чисто техническими характеристиками. Давайте рассмотрим некоторые из них.
● Платные/бесплатные
● На время
● На разлочивание
● Другие
Платные/бесплатные
Платный выбор предопределяет более приятное развитие истории для игрока, он должен вызывать удовлетворение, поэтому обычно показывается позитивная реакция на него, одобрение главного героя и других персонажей, преимущества по сравнению с другими выборами.
Из платных выборов складывается история, где игрок чувствует контроль над ситуацией и выходит из всех проблем победителем. Обычно при развитии сюжета ставки должны подниматься – платные выборы становятся дороже, но и награда за них будет значительно выше. Например, подсмотреть в дверную скважину, как переодевается любовный интерес, – это дешевый выбор, а спасти деревню от дракона – дорогой. Хотя все, конечно же, зависит от проекта.
Психология принятия игроком решения платить может обусловливаться некоторыми очевидными факторами. Все чрезвычайно просто, как в пирамиде Маслоу. Например, когда герой во время прохождения умирает, ему предоставляется выбор – восстановиться на чекпойнте. Не менее востребован выбор дополнительных романтических сцен с любовным интересом – свидание или постельная сцена. Немаловажное значение для некоторых игроков играет частичная кастомизация персонажа во время прохождения – источником платных выборов является смена одежды, прически, украшений и аксессуаров. Выглядеть круто, стильно, актуально – любой каприз за ваши деньги. Вполне очевидным моментом является оплата за дополнительную информацию, которая помогает в прохождении и открывает новые грани лора игры. Например, это может быть флешбэк главного героя, или подслушанный разговор, или даже просто оплаченная беседа. Исправить ситуацию, когда персонаж накосячил или кого-то обидел тоже можно за отдельную плату. Перечень монетизационных моментов, встроенных в интерактивную историю, можно продолжать – все зависит от конкретного проекта.
Что касается бесплатного выбора, то он ведет либо к нейтральной, не настолько интересной, как в премиум-сегменте, сюжетной линии, либо к негативным последствиям. Он вызывает у игрока разочарование и сожаление, что подчеркивается реакцией главного героя и других персонажей. Путь героя, следующего дорогой бесплатных выборов, тернист и мучителен, он несет в себе много преград и неприятностей, из которых игрок выходит с некоторым моральным отягощением.
На время
Это выборы, которые игрок делает на время, видя перед собой условный таймер на N-ое количество секунд. Они добавляют проекту драйва, вовлеченности и интерактивности. Стоит помнить, что монетизацию на выборы на время лучше не прикручивать, так как игрок обычно должен подумать перед тем, как платить. Если его принуждают решать все стихийно и быстро, это вызовет раздражение. Выборы на время хороши в экшен-сценах, но они не должны быть завязаны на какие-то моральные, психологические, отношенческие характеристики.
На разлочивание
Это так называемые выборы «под замком». Их игрок видит, но не может по ним пройти, потому что, например, не хватает баллов по какой-либо характеристике. Открыть их можно либо за монетизацию, либо автоматически при прокачивании персонажа по определенному стату.
Другие
Здесь выборы зависят от проекта и целей авторов игры. Например, выбор от броска кубиков как навык в играх Disco Elysium или в играх от Obsidian: Pillars of Eternity и других.

Финалы

Исходя из выборов, которые делал игрок на протяжении всего повествования, создаются варианты финалов. Это может быть одно событие, куда главный герой приходит в различных состояниях (развитие пути и характеристик) и с разными персонажами (или один). Основная цель финала – это чувство удовлетворения (катарсис) от решений, которые игрок принял на развилках, а также реиграбельность – нужно заинтересовать игрока выйти на все финалы.
Виды финалов по моральным параметрам
Это могут быть пути справедливости и эгоизма, созидательности и деструктивности – в этом свобода выбора игрока. Например:
● торжество добра;
● торжество зла;
● выбор стороны с наименьшим злом по мнению игрока;
● жертвенная смерть главного героя (должна быть оправдана).
Виды финалов по прокачке
Игрок может идти по конкретному варианту прокачки или забить это, выбирая нейтральный вариант. Например:
● главный герой стал выдающимся магом;
● главный герой приобрел статус великого полководца;
● главный герой не захотел быть ни магом, ни воином и ведет обычную жизнь.
Виды финалов по отношениям
Данные финалы зависят от того, с кем останется игрок из любовных интересов, а может, со всеми сразу или вовсе ни с кем. Например:
● главный герой остался с принцессой;
● главный герой становится другом дракона и теперь вместе с ним поджигает посевные поля;
● главному герою приглянулась веселая селянка, и после победы над драконом он стал фермером;
● главный герой плюнул и на принцессу, и на деревенскую красотку, и на дракона, ушел в отшельники, познал дзен и теперь учит всех, как правильно жить без любви и ненависти.
Назад: Глава 11 Переменные. Программистская логика в структуре сюжета
Дальше: Глава 13 Поэпизодный план